半导体器件是现代电子工业中十分耀眼的明星,近几十年得到了长足的发展,凭借诸多优势,已广泛应用于控制、转换、放大、运算等功能电路,一直以来备受人们的青睐。爱它就要接受它的缺点,任何事物都有自己的缺点,半导体器件也不例外。对于本文所涉及的射频放大器等有源器件,非线性就是其缺点之一。
非线性是PA、LNA等射频有源器件绕不开的话题,虽然不可避免,但仍然希望尽量保持在比较低的水平,以降低对系统的影响。衡量非线性特性的参数较多,其中1dB增益压缩点通常是必测的项目。非线性是如何产生的,为什么会引起增益压缩,如何测试1dB增益压缩点,这将是下文要重点介绍的内容。
1. 非线性是如何产生的?
半导体器件之所以得到广泛的应用,原因之一就是能够被“控制”,为人们所用。对于一个基本的晶体管,以场效应管为例,通过控制栅极的供电便可以控制晶体管的导通与关断,可以控制漏源之间电流的大小。晶体管可用于设计射频放大器,晶体管转移特性曲线的斜率(跨导) 在一定程度上决定了放大器的增益。然而,晶体管的转移特性曲线并非是线性的,这意味着放大器的增益也不是恒定的。
图1. 晶体管DC特性曲线及信号放大示意图
以共源极放大器为例,栅极作为交流信号输入端口,放大后的信号由漏极输出。当设计好直流工作点Q时,射频信号会叠加在栅极的工作点电压上,然后经过放大输出。图1给出了晶体管典型的转移和输出特性曲线以及交流信号被放大的过程示意图。
当射频输入信号比较小时,如果直流工作点选择得合适,则映射到转移特性曲线上的区域接近于线性,可以近似认为信号是线性放大的。随着射频信号的功率不断增大,映射到转移特性曲线上的区域逐渐呈现为非线性,此时放大的波形已与输入信号有明显不同,失真越来越明显。这种失真并不是波形整体放大或缩小这种线性失真,而是非线性的失真。
以图1为例,考虑一种极端的情况:假设已经选定直流工作点,当输入信号增大到使得栅源电压Vgs在部分时刻低于导通阈值电压时,在这些时刻晶体管就会关闭,当然也就没有输出波形,因此输出波形会严重失真,这也意味着放大器已经处于严重的非线性工作状态!
如果直流工作点选择得合适,放大器可能在很宽的输入功率范围内都不会存在明显的非线性失真;而如果选择得不合适,比如靠近导通阈值电压,那么即使输入信号较小,也可能会存在明显的非线性失真。
说到这,影响放大器线性度的因素主要包括:非线性的转移特性,直流工作点的选择以及输入信号的强弱。
半导体器件的非线性失真机理可能远比上述介绍复杂,但上述三个因素至少是其中部分原因,这也让一直将非线性挂在嘴边的射频工程师向“知其然,知其所以然”的目标又迈进了一步。
非线性特性并不是“一无是处”,对于放大器而言确实是有害的,但是有些器件就是要利用这种特性实现特定的功能,比如乘法器、混频器、倍频器等,关键视具体应用而定。
2. 什么是**1dB**增益压缩点?
通常可以将非线性电路的输出信号进行泰勒(Taylor) 级数展开,更具体地讲,应该是麦克劳林(Maclaurin) 级数展开:
式中,vin(t) 和vout(t) 分别为输入和输出信号,ci 为级数展开常系数。
对于放大器,当馈入单频点信号时,其输出特性又是怎样的呢?
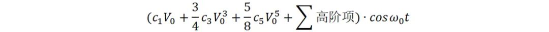
令vin (t)=V0 cosω0 t ,代入上式可得
可将上式中各个分项展开如下
对于偶数幂次,积化和差后只有DC分量及偶次谐波分量,可简写为2i·ꞷ0 ,i 为非负整数;
对于奇数幂次,积化和差后只有奇次谐波分量(2i+1)·ꞷ0_,_i 为非负整数。
由此可见,因放大器的非线性特性,当输入单频点信号时,其输出信号除包含被放大的原频点信号外,还会再生一些新的频率分量,频率再生也成为非线性失真的一个特点。
对于频率分量ꞷ0 ,其输出项为
Taylor级数展开后,阶数越高,常系数ci 越小,因此,为了方便,上式中只考虑前三项,忽略高次项。
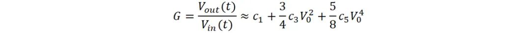
则放大器的电压增益为
可以将增益分为两部分:线性放大增益,以及因输入信号影响而贡献的增益。
G=c1+∆G(V0)
理论上,期望放大器是理想线性的,无论输入功率多大,输出功率都是线性增加的,即增益都是恒定不变的。但事实是,当输入功率较大时,放大器会进入非线性工作区域,导致增益压缩。因此,上式中∆G(V0 ) 是小于0的。
当输入功率较低时,与输入信号相关的增益部分趋于0,则此时的增益接近于线性增益。随着输入功率的不断增大,输出功率近似线性增加,增大到一定程度,非线性越来越明显,导致增益压缩,输出功率增长速度放缓,最后逐步趋于饱和稳定,输入、输出功率之间的关系如图2所示。
图2. 放大器的增益压缩特性及1dB增益压缩点
如何解读图2中的曲线关系?
首先需要明确的是,这是输入、输出功率的对数表示,因此理想线性放大器的曲线斜率为1,如图中虚线所示。实线表征的是放大器实际输入、输出功率之间的关系,随着输入功率的增大,输出功率增大得速度变慢,越来越偏离理想的曲线,增益逐步变低,这就是增益压缩效应。
Pout (dBm)=Pin ( dBm)+G(dB)
放大器等有源器件通常关注实际增益比线性增益跌落1dB的位置,称之为1dB增益压缩点,该点对应的输入、输出功率一般分别标记为P1dB,in 和P1dB,out 。
1dB增益压缩点越高越好,两个放大器相比较,谁的压缩点越高,意味着谁的线性度越好。无线通信系统中,信号通常都具有一定的带宽,如果总功率接近于1dB压缩点,则放大器非线性越趋于明显,就会产生比较强的谐波、交调产物,从而对邻带或带内造成干扰。因此,非线性失真是放大器设计中一个非常重要的考量因素。
3. 如何测试**1dB**增益压缩点?
前面简要地介绍了非线性导致增益压缩的基本内容,那么实际中如何测试1dB增益压缩点呢?
1dB增益压缩点的测试方法较灵活,通过矢量网络分析仪自动测试,可以自动测试一维/二维扫描时的压缩点;也可以基于信号源和频谱仪甚至是功率计进行手动测试,这将是下面要着重介绍的方法。
信号源输出功率与设定值有一定的偏差,而且测试所需要的线缆、衰减器等附件都有一定的损耗,那么需要对这些提前标定吗?
由于P__1dB 测试的是绝对功率,所以以上因素还是影响测试结果的。但是,也没有必要进行全面的标定。下面介绍的P__1dB 测试思路是,首先确定信号源输出功率设置多少时增益压缩1dB,然后记录该设置功率和频谱仪测得的功率,最后再扣除线缆和附件的损耗分别确定1dB压缩点的输入、输出功率及增益。
值得一提的是,该测试要求信号源输出功率的线性度较好,否则会带来较大的测试误差。好在通用的射频源在很宽的功率范围内都具有良好的线性度。
当然,为了进一步提高测试精度,也可以考虑使用功率计对信号源在一定功率范围内进行功率校准,进一步改善输出功率线性度。
图3. 1dB增益压缩点测试的典型连接示意图
实际测试时,具体操作步骤如下:
(1) 测前准备:选择性能较好的射频线缆、转接头及合适的高功率容量衰减器,对于线缆和转接头,尤其要保证在测试频段内的VSWR要良好;高功率容量衰减器仅仅在测试PA时需要,以保护测试设备,对于小信号放大器的测试,使用频谱仪内置的衰减器足矣。
(2) 测试连接:按照图3完成测试连接,如果测试PA,则需要在其后引入合适的衰减器,此时要保证信号源没有射频信号输出。
(3) 参数设置:设置信号源的频率、功率及功率步进,频率根据测试频点设置,建议先设置一个低功率,保证放大器工作在近似线性区域。设置频谱仪的中心频率CF和Span,因为测试单频点信号,建议Span不要太大,内部衰减度的设定需要根据放大器的输入功率、增益及外部衰减度综合考虑。
(4) 打开放大器:注意上电顺序,尤其是对于PA而言,详见下面的注意事项。建议先给栅极上电,再给漏极上电。
(5) P__1dB 测试:打开信号源的输出开关,调整频谱仪的参考电平、衰减度,使得CW信号频谱得到良好的显示,并保证有足够的信噪比。调出频谱仪的peak marker,一并记录信号源设置的功率P__in,1 及peak marker的功率P__out,1 。
不断地增大信号源输出的功率,可以通过信号源的导航键按照步骤(2) 中设定的步进逐步增大功率,并观测频谱仪测得的功率。当信号源的功率调整到_P__in,n_,且满足如下公式
Pin,n-Pin,1-(Pout,n-Pout,1)=1dB
则完成了P__1dB 测试的第一步,但是P__in,n 和P__out,n 还不是1dB增益压缩点输入、输出功率。
P__out,n 是放大器输出功率经过后级线缆、衰减器等附件后测得的功率,因此补偿这些损耗后便得到P1dB,out_;_P__in,n_是放大器增益压缩1dB时信号源设置的功率,去掉放大器,直接使用频谱仪测试放大器输入侧的功率即为_P1dB,in 。1dB压缩点对应的放大器增益则为
G1dB=P1dB,out-P1dB,in
P__1dB 测试需要注意哪些事项?
首先放大器上电顺序要正确,尤其是功率放大器。对于GaAs、GaN放大器,目前大部分采用的都是耗尽型晶体管设计,栅源电压为0V时便是打开的状态,因此这类放大器的栅极一般都工作在负压状态。对于这类放大器,出于保护的目的,一定要先加负栅压,再加漏极电压。
其次,测试PA时,必须要根据其最大输出功率选择合适的衰减器,以免功率过高烧坏频谱仪的射频前端。频谱仪内部衰减器通常最多只能耐受1W的功率,所以经过外部衰减器后的功率一定要远小于该值。
最后,考虑到测试精度,可以在放大器前后各引入一个合适的衰减器,以改善输入、输出匹配。对于PA的测试,由于对驱动功率有一定的要求,PA之前的衰减度不宜太大,要保证信号源经该衰减器后的功率仍然可以驱动PA正常工作。
此外,还要避免频谱仪进入非线性区域,可以参考频谱仪的规格书查找其_P__1dB_,只要测试时馈入频谱仪的功率低于该值至少6dB以上,那么频谱仪自身的非线性带来的影响便可以忽略。
还有一种简单的判断方法,当找到1dB压缩点时,手动增大频谱仪的衰减度,如果测得的信号功率基本不变,那么说明频谱仪没有明显的非线性;如果增大衰减度,测得功率反而变大,则说明频谱仪的射频前端已经压缩了,需要进一步增大衰减度直到测得功率稳定,然后继续增大信号源输出功率,寻找放大器真正的1dB压缩点。
最后,留一个开放性的问题:对于PA,可能存在这样的情况,在激励功率递增时,增益并不总呈现单调降低趋势,比如随着激励功率的提高,PA增益可能先增大后又降低,那么标定1dB增益压缩点时,应该以哪个增益(或者功率)作为参考呢?
上一篇
什么叫TEM、TE、TM电磁波?有啥区别TEM波就是横波,HxE与k三者相互垂直,其他方向都没有分量,但有的在波传播方向k上有H波或E波,这就产生了所谓的TE波或TM波。
2020-08-10
下一篇
Smith Chart using MatlabSmith Chart – plots with Matlab
2020-08-09
